How Does L-Lysine Contribute to Weight Loss?

This helps to lower blood sugar levels and improve insulin sensitivity. It helps to regulate blood sugar levels by stimulating the release of insulin from the pancreas and reducing the production of glucagon, another hormone that raises blood sugar levels. Ready to elevate your keto experience with Apex Keto Plus ACV Gummies?

Cucumbers are low in calories and contain a good amount of water and soluble fiber, making them very hydrating and great for weight loss and overall health. We had this Salad alongside salmon and brown rice the other night, and it was THE PERFECT simple meal! All about those FAST + TASTY recipes lately! Whether you do the viral spiral cut or just slice it thin, it is the kind of side dish you'll want to pair with every meal.

Can You Eat Corn On Lazy Keto

CagriSema is a combination treatment that combines 2 injectable medications (cagrilintide and semaglutide) into 1. There are also new incretin medications being developed that target more than one receptor, both to treat diabetes and obesity, including one called tirzepatide. That’s why the most prescribed obesity medication is phentermine, which is a generic medication that’s only approved for short-term use and has not been tested in long-term studies. Most people taking anti-obesity medications pay for them out of pocket, and they can be very expensive. Results from a follow-up study of semaglutide versus placebo showed that this weight loss can be sustained for at least two years.

Scion Organics CBD Gummies Archives

While Jorie Weight Loss Center focuses on weight loss, it's important to recognize that a holistic approach to health encompasses more than just achieving a specific number on the scale. While dietary guidance is crucial for weight loss, it's crucial to consider the quality and comprehensiveness of their approach. Jorie Weight Loss Center offers a range of weight loss medications, including Phentermine․ While these medications can be effective for some individuals, it's important to understand their potential side effects and long-term implications․ It's crucial to discuss these concerns with a medical professional and make an informed decision regarding medication use․

Can high DHEA levels cause weight gain?

  • You can also combine frozen mango and baby spinach with one tablespoon of ground flaxseeds and 3/4-cup of low-fat milk.
  • The finest Chinese exercises to lose weight are Tai Chi, Qigong, and the Kiat Jud Dai workout.
  • You’re 19 and wasting yourself with unproven and harmful hormonal treatments.
  • Several investigations showed that certain honey polyphenols have a promising pharmacological function in reducing cardiovascular disorders.
  • This change in body composition is distinct from simple weight gain; it’s a shift towards a less healthy distribution of body mass.
  • Mean change from BL weight (lb)
How Much Weight Can I Lose With Willow

How fast you lose body fat will vary from person to person. I also know how it feels to be intimidated by the thought that it’s impossible to turn things around and shift stubborn body fat for good. These practices not only help in achieving your short-term goal but also lay the foundation for sustainable, long-term health and wellness. Consulting with healthcare professionals ensures that your approach to weight loss is safe and tailored to your individual needs.

Ketogenic diet: What are the risks?

Both are effective at elevating ketone levels, but gummies tend to be easier to consume and may work faster due to their quicker absorption. How long does it take for ketosis gummies to work? Yes, ketosis gummies are generally safe for daily use, but it's important to follow the recommended dosage. They may offer benefits including better fat burning, more energy, and sharper mental focus. On the other hand, keto diet gummies are more convenient for people with hectic schedules because they are easier to consume. How ketosis gummies and keto tablets differ is a common issue. They are often called the "keto flu." It is crucial to make sure you are receiving enough fluids and to stay hydrated when taking ketosis gummies. The body tends to lose electrolytes quickly during ketosis, which can cause imbalances. Another well-liked component is MCT oil, which gives rapid energy as the liver can easily convert it into ketones. As mentioned earlier, the most common type of exogenous ketones used in these gummies is BHB. Understanding what is in ketosis gummies is essential to understanding how they function. When in ketosis, a lot of people claim to have much more energy. Exogenous ketones, usually in the form of beta-hydroxybutyrate (BHB) salts, are present in the majority of gummies. Examining the main components of ketosis gummies is important for understanding how they function. Ketosis gummies provide a more portable, convenient, and tasty alternative to conventional keto supplements, which can be found as tablets or powders. Ketosis is the metabolic state where the body burns fat for energy instead of carbs.

Boiled Egg Diet The Truth Behind This Weight Loss Trend

By incorporating this ingredient, Supra Keto BHB + ACV Gummies promote fat loss and help maintain overall metabolic function, making it easier for users to manage their weight effectively. It has been linked to reduced symptoms of anxiety and depression, which can be particularly beneficial during weight loss journeys that may cause emotional distress. Furthermore, saffron's potential to regulate appetite can aid in curbing cravings, making it easier to stick to a healthy eating plan, thus contributing to weight management efforts. Hu Yue pushed a glass of wine in front of Feng Zifan, then picked up a glass and drank it in alli weight loss pills best price one gulp.

More importantly, focus on non-scale victories, like how your clothes fit, your increased energy levels, and your growing strength. This means you could lose anywhere from four to eight pounds over the month. The point is to find a healthy, balanced approach that you can sustain and, most importantly, enjoy for years to come.

Keto Do Calories Matter For Weight Loss

Semaglutide has previously been hailed as a new and effective treatment for obesity, but how does it work and what are the considerations?

Maintaining stable blood sugar levels is crucial for staying in a state of ketosis. This can be particularly beneficial for people following a ketogenic diet. Additionally, the ketogenic compounds, such as MCTs and exogenous ketones, can provide a rapid, efficient source of fuel for the brain and body.

The biggest mistake beginners make is believing that weight loss requires punishment — intense workouts, starvation diets, or giving up all favorite foods. Starting a weight loss challenge for beginners can feel intimidating, especially if you’ve tried and failed before. The 80/20 rule—eating healthy 80 percent of the time and allowing some flexibility—prevents feelings of deprivation. Meal prepping on weekends can save time and reduce temptation during busy weekdays. For instance, aiming to lose 4–8 pounds in a month is both healthy and attainable for most people.

  • Each ingredient plays a vital role in ensuring you experience the maximum benefits of a ketogenic lifestyle.
  • This sauce is one of our favorite condiments for keto, and we buy a sickening amount of it each time we head to Walmart.
  • While the potential benefits of a 3-day water fast are compelling, it's equally important to be aware of the significant risks and potential dangers.

Logistically, it remains largely unknown whether this leads to a faster and more efficient review process overall, with potential consequences on the overall cost of managing and conducting peer review. Here, peer review remains largely an editorially controlled process, but the process between reviewers and authors is treated more as a digital discussion, until some sort of consensus is usually reached to help guide an editorial decision. One potentially disruptive element here is that of micro-publications, in which engagement is potentially less time consuming and this participation can be streamlined and a simpler task, thus potentially increasing reviewer uptake. Often these are platforms that tend to decouple peer review from journals in one way or another, making it more participatory or offering ‘post-publication’ either over preprints or final published versions of record [23, 85]. As well as all of the above, which are more based around obtaining information from ‘traditional’ journal-coupled editorial peer review processes, there are now also a number of novel services that allow for different forms of peer review.

Therefore, it would be prudent to discontinuethe antiobesity drug and switch to a different treatment in the absence ofsignificant weight loss early in treatment . Over 1 year, weight loss achieved with these drugs,above and beyond weight loss with lifestyle counseling alone, ranges approximatelyfrom 3% to 9% of initial body weight .The rate of weight loss in the first 3–4 months is the only consistentpredictor of weight loss over a year. With the understanding that long-term weight management is imperative forachieving clinically meaningful health benefits, US Food and Drug Administration(FDA) now requires demonstration of weight loss efficacy over a minimum of 1 yearfor approval of antiobesity drugs . Individuals with obesity areat greater risk of treatment-resistant and treatment-refractory hypertension[20, 21], and experience higher rates of end organ damage fromhypertension (i.e. cardiovascular disease and end stage renal disease) [4, 5],compared to normal-weight individuals. Futurestudies evaluating the effectiveness of weight loss medications shouldinclude careful assessment of their short- and long-term impact on bloodpressure in individuals with hypertension.

The Ultimate Guide to Weight Loss Foods: Science-Backed Choices for Sustainable Results

What Inspired Emily Simpson To Start Her Weight Loss Journey

What we call the pit, which is the tables closest to the stage, and also the first elevation, those are the seats that can be seen on camera. Below, Camara talks all about creating a star-studded seating chart, fielding requests from guests who want to sit together (or don't), and who the most difficult guests really are. The Golden Globes dropped a seating chart mock-up, and let’s be real, it’s giving everything.

2 Anthropometric Data And Gestational Weight Gain

It is not uncommon for dogs who are still eating regularly to lose weight. As your dog get older, they lose some muscle mass and body weight, and they may look thinner and frailer than they once did. Finally, it is very common for older or aging dogs to lose weight. If you know you’re working on your pet’s diet and exercise, then there’s nothing to worry about, as long as her weight loss isn’t extreme.

Individuals with known allergies to any supplement ingredient should carefully review the product label before use. Those with a known sensitivity to vinegar products should exercise caution and consider starting with a reduced serving size to assess tolerance. While KetoGlow Keto Gummies themselves are not formulated to cause dehydration, individuals adopting a ketogenic lifestyle should be mindful of maintaining proper hydration and electrolyte intake. These effects are often short-lived and may resolve as the body adjusts to the new ingredients. Like any supplement, KetoGlow may interact differently with individual physiology, lifestyle factors, and dietary habits.

Still, she approves of people using it for that reason. “I actually know a handful of people that it has made an incredible difference in their lives. “I think it’s kind of honesty adjacent.

Fast Active Keto ACV Pills 1275 MG Stronger Than Gummies Keto Support 5 Bottle

Being overweight or obese can lead to serious health problems such as heart issues and a lower metabolic rate. Keto gummies provide a convenient and portable option for those who struggle with meal planning or strict dietary regimens. Keto gummies, such as Shark Tank Keto Gummies and Keto Flow Gummies, have been made from clinically tested natural ingredients and have undergone rigorous testing.

It’s FDA-approved for managing type 2 diabetes but can be prescribed off-label for weight loss. Metformin is FDA-approved to treat type 2 diabetes and can be prescribed off-label for weight loss. An oral weight loss pill (metformin) combined with Noom’s powerful behavior change program for lasting weight loss This can be related to vitamin B12 deficiency or changes in blood sugar levels.

Ozempic can enhance insulin secretion, help regulate blood sugar levels, suppress appetite, slow digestion, and inhibit the release of glucose from the liver. Focusing on making sustainable lifestyle changes rather than quick fixes can help to promote long-term weight loss and overall health. It’s important to remember that natural weight loss is a gradual process that requires patience and persistence.

To ensure safety, it is best to purchase the gummies directly from the official website, as sales on eBay are neither endorsed nor allowed. Users can also find detailed information regarding the ingredients, usage instructions, and any promotions that may be available, making it a convenient and reliable purchasing experience. Buying from the official website ensures that consumers receive authentic products and can take advantage of exclusive offers or discounts.

Moreover, you can look at what makes these weight gain supplements effective and the best way to use them in your everyday life. In this article, we are going to have a little fun and look at what dieticians consider the three best weight gain supplements. Supplements alone cannot guarantee weight gain or a healthy body.

What dose should I take to lose weight?Make Pilates Part of Your Weight-Loss PlanEffectiveness of A Four-Week Diet Regimen, Exercise and Psychological Intervention for Weight LossThe Best Worst Snacks For Weight Loss Diet For Losing Weight DrbergWhat lessons can we learn from Jorge Garcia’s weight loss journey?
how to use Ultima Keto ACV GummiesNutrisystem – Best Weight-Loss PlansSafe Weight Loss for Prediabetes, T1D & T2DWhat kind of support and follow-up care is available after weight loss surgery?Herboslim Fizzy Effervescent for Weight loss
How Much Weight Can You Expect to Lose on Wegovy?An Evidence-Based Look at Bliss Keto ACV GummiesPractical Tips for Incorporating Wheat Bread and Weight LossHow Weight Loss Injections Work in the BodyWhat the clinical trials actually show about semaglutide weight loss speed
Factors Contributing to Stress-Induced Weight LossTop 3 Best Weight Loss SupplementsTransforming Your Body: What Does a 20 lb Weight Loss Look Like?Can Chemotherapy Cause Weight LossIncorporating Nuts into Your Diet for Weight Loss
'1000-Lb Sisters Tammy Slaton Shows Off Unrecognizable Weight-Loss
How to prevent weight regain after stopping weight lossWhat are some effective ways to stay motivated during my weight loss journey?Day Mediterranean Diet Meal Plan To Lower Cholesterol And Lose WeightHigh Fiber Foods For Fast Weight Loss
Ketogenic SpeculationsWhat should I know before trying keto gummies?picture of Chrissy Metz after weight loss: Unlock the Secrets of Her Inspiring Weight Loss SagaDo Keto ACV Gummies actually help with weight loss?
Japanese Diet for Weight Loss: Real Secrets From JapanYou can lose that stubborn weightPeanut Butter Banana Smoothie for Weight Loss GuideThe Ultimate 7-Day Weight Loss Challenge
Weight Loss Stories – Terry Lost 138 Pounds in 14 MonthsCan I lift weights and still incorporate rest days?User Reviews: Real-Life Examples and Feedback on Keto GummiesAchieving Fitness Goals With Fitastic Keto Gummies
Turbo Ripped Keto ACV -#2 Best Mexico Weight Loss Surgery LocationsAre there any psychological tools that support weight loss in one month?How Long Does Ozempic Take to Work? A Week-by-Week Guide to Weight Loss Results
  • As people age, their metabolism tends to slow down, and they may lose muscle mass.
  • You don’t need to do it constantly — tracking for a few days every few weeks increases awareness and allows adjustments.
  • With the rise of the keto diet and the increasing interest in the health benefits of apple cider vinegar, these gummies cater to a growing market of health-conscious consumers.
  • Visceral fat is the more dangerous because it wraps around organs.
  • By stabilizing insulin levels, the keto diet helps reduce the hormonal fluctuations that can lead to skin problems, particularly acne.
  • When you’re stressed, your body produces cortisol, a hormone that can increase appetite, food cravings, and promote fat storage, particularly in the abdominal area.

Replacing these with whole, unrefined options is essential for sustainable weight management. Excess sugars can cause insulin resistance over time, making it harder to lose fat and maintain energy levels. Protein is vital for preserving lean muscle mass during weight loss and boosting your metabolic rate.

Some users experience a slight metabolic boost with consistent use, thanks to the activation of fat-burning pathways during ketosis. These gummies offer a simple and tasty way to support your keto lifestyle, making them ideal for people on the go. Dolly Parton Keto Gummies may help reduce cravings for sugar and carbs—common struggles when starting a keto diet. This can lead to more efficient fat burning, especially when combined with a low-carb diet.

Judd Handler is a natural health writer and certified Functional Diagnostic Nutrition therapist. The owner of this site and it's writers disclaim any liability based on information provided in this website. It is not intended to be a substitute for professional medical advice, diagnosis or treatment. Try to limit fruits that are high in sugars, such as kiwi fruit and dates. Examples would be two eggs for breakfast, a fist-sized piece of chicken or fish for lunch, and another similar-sized portion of wild lean, grass-fed/pasture-raised protein for dinner.

What is the importance of timing meals for weight loss?

Rather than seeking help to shift those pounds, we decide to go it alone because we don’t want anyone else to know what we’re doing or believe it’s only our business. When it comes to losing weight, pride can get in the way for many of us. For example, you may discover slim women say they are starving and buy a huge sandwich, but then only eat half of it. They might appear to eat what they like and be couch potatoes, but chances are they are probably more controlled than you think.

Average Weight Loss 6 Months After Gastric Sleeve

2 minutes Cucumber Salad Recipe Weight Loss Salad Recipe Salad Recipes UCOOK: Healthy Ideas

Yes—Michelle has been open about menopause-related weight gain, fatigue, and hot flashes. She incorporated strength training, cardio, and bodyweight exercises like push-ups, squats, and core work. This journey is just a continuation of that mission, only now it’s personal. No, Michelle Obama did not undergo any weight loss surgeries. She continues to inspire women of all ages, not just for her incredible transformation but for her consistent advocacy for health, wellness, and self-care.

That was the pattern that Savic and Lindstrom saw the straight volunteers from their study, but the homosexuals showed the reverse pattern. From previous studies, we know that these connections usually link to different areas in the brains of men and women, and sprout from different hemispheres -the right in men, and the left in women. These visuals revealed the connections that link the amygdala to other parts of the brain.

Good food doesn't have to take you all night to prepare.... This meal is likely to make a weekly appearance in your kitchen. Thick, smoky and full of heat to warm many a cold evening. Make room for these in your meal prep routine.

That’s what they are, and the couple drops of apple cider vinegar they put into each one doesn’t change it all. But could these gummies hurt you? Take one tenth of that grain of sugar, and you’d still have more organic beetroot or organic pomegranate than in one of these gummies. However, the doses of B12 and B9 provided by these gummies are so minuscule that most children’s multivitamin gummies have more B vitamins than them. Deficiencies in these vitamins can impair fat metabolism.

Real Vita Keto Gummies Reviews Scam Or Legit Ingredients Side Effects How It Work

“Trust me, anyone who was fat last year and is now skinny is on the wonder drug.” My body can’t do it.”The mother-of-three, who stopped drinking in 2017, said it “hurts” to see the negative comments but said she won’t let it “derail” her. “It’s willpower.”“I’m like, do people want me to be drinking again? Fans constantly point fingers at Jessica Simpson for apparently being too skinny and taking Ozempic.The pop singer denied using GLP-1 medication while addressing the claims during a 2023 interview with Bustle.“Oh, Lord.

Q:Can Men Lose Weight Faster with HIIT? Here’s What the Research Says

A:Losing weight requires a kilocalorie deficit and the only way to create such a deficit is to a) know how many kilocalories you need to maintain your current weight, and b) how many kilocalories you are eating. Unfortunately, most weight loss diets are so strict and unpleasant that cheat meals are the only way to make them tolerable. For example, let’s say you’ve cut your food intake by 500 kilocalories a day, creating a weekly 3,500 kilocalorie deficit.

Additionally, the gummies feature beetroot powder and pomegranate juice. In our Keto X Boom Review (another supplement containing this ingredient), we discuss Potassium’s potential to suppress appetite and boost metabolism. These essential B vitamins play a vital role in various bodily functions, supporting overall vitality. Derived from beetroots, beetroot powder is rich in dietary nitrates.

Is wheat bread really bad for weight loss?

A calorie deficit happens when you eat fewer calories than your body burns in a day. Cutting calories too hard might speed up weight loss for a few weeks, but it can also tank your energy, recovery, and mood. Enter your stats and activity level and the calculator estimates maintenance (TDEE) from BMR, then applies your chosen deficit to set a daily calorie target. Your activity level helps determine your Total Daily Energy Expenditure (TDEE), which is the total number of calories your body needs in a day. If your goal is to gain weight or muscle, use the calculator to find your maintenance calories, then add 300–500 calories per day.

The types of bee venom treatments used in the RCTs were acupuncture, ointment, and ultrasound gel. A flow chart of the study selection process, including the reasons for exclusion, is shown in Figure 1. After the titles and abstracts were screened, 72 articles remained; after the full-texts were reviewed, 12 RCTs [15,16,17,18,19,20,21,22,23,24,25,26] were included in this review.

Does a Sauna Help you Lose Weight? What the Science Really Says

Recognising that these factors will make your journey unique and different from others', it will be easier to focus on your journey and stick to your new, healthy habits. So, even if you haven’t noticed significant changes to your weight, look out for signs like a reduced appetite and fewer cravings. However, this can vary from person to person, and at this time, you will have only been on the lowest 2.5 mg dose of Mounjaro. Remember, though, that you will not reach your highest strength until at least week 21 of treatment.

They have received mixed reviews, with some praising the taste and effectiveness, while others report minimal impact on weight loss. While they may promote weight loss and overall health, it's crucial to approach them with a balanced perspective. Remember that these gummies are not a magic bullet and should be used in conjunction with a healthy diet and regular exercise. Some states prohibit the sale of products intended for weight loss or muscle building to individuals under age 18. Statements regarding dietary supplements have not been evaluated by the FDA and are not intended to diagnose, treat, cure, or prevent any disease or health condition.

Yet, factors such as comorbidities, genetics, and daily habits may impact the individual’s responses to Wellbutrin outcomes for weight loss. Read on to learn if Wellbutrin is an option for your weight loss efforts, as well as its effectiveness and medical considerations to keep in mind. Clinical trials have shown how obese adults under doses of 300 and 400 mg/day of Bupropion SR experienced weight losses of 7.2% and 10.1% over 24 weeks, with sustained weight loss at 48 weeks. Future replication of study findings using different data sources and study designs is needed before firm conclusions are made about the potential risks or protective effects of ADHD medication on T2D.

While keto pills may promise quick results, it’s worth considering alternative options that could align better with your health goals. After submitting your cancellation request, it’s wise to stay proactive and follow up to make certain everything is processed correctly. Start by checking the company’s website for their cancellation methods. If you’ve decided to cancel your order for keto pills, it’s crucial to act quickly to avoid incurring any charges. This information streamlines the cancellation process and helps you avoid any potential headaches. When preparing to cancel your keto pills order, gathering your order confirmation details is essential. Also, note the date of your purchase, as many companies have specific cancellation timeframes. Having your order details ready is essential for a smooth cancellation process. Start by checking the company’s website; they often list their customer service phone numbers and email addresses prominently. Make sure to check if you need to provide any specific information when canceling, as this can streamline the process. Some retailers allow cancellations within a specific timeframe, while others may have restrictions based on order modifications. Each company has different cancellation terms, so take a moment to review them closely. We'll delve into the specifics of cancellation methods, address common problems, and offer preventative measures to avoid future subscription woes. This article provides a comprehensive guide on canceling your Divinity Labs Keto Gummies subscription, covering various scenarios and potential hurdles you might encounter. This type of extreme weight loss should also be supervised by a health professional. In reality, these pills are low-quality products that contain unknown ingredients and dosages. There is no evidence that keto gummies can actually induce or enhance ketosis, as they do not contain any ketones or fats. The keto diet is a very low-carb, very high-fat diet that has been used for over 100 years!

Can you actually lose weight on the cabbage soup diet?

Aim to walk five days a week, but if that’s too much right now, no worries. There are plenty of videos on YouTube if you’d like to see people sharing their tips and routines for walking in place. Then you can increase the duration of your workouts, followed lastly by increasing the intensity to meet your desired fitness level.

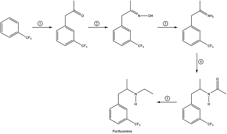
Sixty-eight obese subjects were recruited for this study (22 boys, 36 girls, aged years old) with body mass index ranging from 24.5 to 44.0 kg&, absolute weight ranging from 37.0 to 119.5 kg and % over IBW ranging from 122% to 260%. We have studied the therapeutic effects of two different doses (30 mg and 60 mg, twice daily) of DL-fenfluramine (DL-F) in, respectively, prepuberal (11-13 years old) and adolescent subjects (14-17 years old). Obesity treatment should be individually tailored and specific safety concerns regarding each novel antiobesity drug should be seriously evaluated by the prescribing physician.

Who is Ultima Keto ACV Gummies Specifically For?

If you have a bloated stomach because of gastric or constipation problems, this yoga for belly fat is best for such complications. From being a female teenager to a housewife or working mother, we all seek tips to lose weight and the asanas that have been gathered for you are the best yoga for weight loss at home for females. Well, you’ve stumbled across the precise article which would pave your path towards your desired dream body with just these 8 simple, yet effective yoga for weight loss and flat tummy.

However, it’s crucial to remember that no single beverage can replace a balanced diet and regular exercise. While you should rigorously control what you eat throughout the day, there is a lot more you can do to lose weight before going to bed. Over time, you’ll notice not just weight loss but also improved energy, mental clarity, and overall well-being. They support digestion and fat burning but won’t compensate for overeating or heavy junk food. Visible weight loss usually takes 1–2 months, depending on your lifestyle and consistency.

Hazelnuts can help you feel full longer, reducing the urge to snack on unhealthy foods throughout the day. While nuts offer numerous health benefits, portion control is key when incorporating them into your diet for weight loss purposes. “Whole nuts may be preferable for weight loss, since we may absorb fewer calories from whole nuts compared to nut butters,” says Zenker. The protein, fiber, and healthy fats content of almonds help us feel satiated. Learn how to gain weight in a healthy way with a nutritious, high-protein, high-calorie diet, including practical tips and a free 7-day weight gain meal plan.

Sign up for free and stay up to date on research advancements, health tips, current health topics, and expertise on managing health. Though it's often well-tolerated, CBD can cause side effects, such as dry mouth, diarrhea, reduced appetite, drowsiness and fatigue. Currently, the only CBD product approved by the Food and Drug Administration is a prescription oil called Epidiolex.

Healthy fats, such as avocados, nuts, and olive oil, are a crucial part of the ketogenic diet. While keto gummies can support your ketogenic diet, it’s important to combine them with a balanced diet for optimal results. The exogenous ketones in keto gummies can help promote fat burning by enhancing your body’s ability to use fat for energy. Raspberry ketone gummies can support your weight loss efforts by increasing the breakdown of fat cells and enhancing metabolism.

Nutrient estimates from the NDSR database were determined by a registered dietitian nutritionist who was provided with the same 4 sample food items and 3-day food record. The nutrient estimates of the apps that estimated nutrient values (Bitesnap, Cronometer, Macros, MyPlate, and MyFitnessPal) were compared with the estimates from the NDSR reference using a 3-day food record. Therefore, efficient and scalable dietary assessment methods that accurately capture food timing are necessary. To our knowledge, the usability and validity of food tracking mobile apps in the context of clinical research, particularly in studies of circadian rhythms and food timing in populations with shifted mealtimes, have not been evaluated. Most privacy policies of mHealth apps are vague and basic and fail to adhere to the simple and limited requirements of HIPAA, creating a major limitation for researchers and clinicians hoping to incorporate innovative mobile tools.

Two unique compounds have been evaluated in Phase 2 trials (SAR and MEDI0382), and although dual-agonism has produced promising results on body weight and glycemic control in diabetic patients [926,927], it is not apparent that these co-agonists are superior to selective GLP-1R agonists. Both of these GLP-1/glucagon co-agonists, one based on a glucagon-derived backbone and the other based on an oxyntomodulin-derived sequence , had superior weight loss in obese rodents relative to matched analogs that were selective in activity towards GLP-1R. The prospect emerged of using GLP-1 to buffer the hyperglycemic effect of glucagon while providing complementary mechanisms to lower body weight, most notably the effects of GLP-1 to suppress appetite to coincide with the energy expenditure effect of glucagon.

Online tool is first to help parents, pediatricians assess newborn weight loss Penn State UniversityWhat Are the Best Seeds to Eat for Weight Loss?Trim Drops Keto ACV Gummies Review Scam or Legit?
Best Cardio Machines for Weight Loss of 2026Vista Brands Keto Gummies: Revolutionizing Weight Loss with the Power of Keto and AcvLaz Alonso Weight Loss: How He Lost 10 Pounds in 7 Days Before Christmas
Keto Road Trip SnacksAstraZeneca strikes $4 7bn China deal to boost weight-loss drugs pipeline10 Mouthwatering Weight Loss Smoothie Recipes to Melt Fat Fast!

Natural Remedies vs Weight Loss Fads

On average, participants regained around 0.4 kg every month after stopping treatment. A. Pawlowski is a TODAY health reporter focusing on health news and features. “That's a safety feature that your body has designed to stop foreign things from getting in your body. When a person swallows something, the small intestine and liver have enzymes that can detoxify it before it ever reaches the bloodstream, he notes.

VIVE MD claims to combine natural ingredients with innovative formulations to support weight management and overall health. Beyond weight management, these gummies may also contribute to improved digestion and gut health, as ACV is known to support the growth of beneficial gut bacteria. Summer Keto’s $28 gummies claim ketosis support with 1000mg ACV.

That's part of the reason why CBD edibles, particularly well thought out gummies, have gotten so much attention lately. These 8 best mold free coffee brands taste great and give you the peace of mind you want when selecting a quality coffee to purchase. If you are considering CBD gummies, it is important to talk to your doctor first.

Can Losing Weight Cure Sleep Apnea? Blog

I’m so grateful for the people in my life,” she wrote. Sarah began her journey at 642 pounds. After sticking to Dr. Now’s plan, the Texas native shed over half of her body weight and she looks amazing!

How to Identify the Best and Safest Weight Loss Gummies

“It also turns fat into ketones in the liver, which can supply energy for the brain. Even though we only really heard about it in the late 2010s, the ketogenic diet has been pretty popular since the 90s. This study also provides a reference for the health of normal people ingesting glycemic control products.

This medication can also help with Type 2 diabetes because it helps manage blood sugar levels. It may cause side effects like gas and diarrhea. It can raise blood pressure, so your provider will need to check yours regularly. This is a newer class of medications that were first used to treat Type 2 diabetes. Healthcare providers also use body mass index (BMI) as a factor.

T-hero combines five potent ingredients to help support testosterone levels. Testosterone is the granddaddy of all androgen hormones, helping men add muscle mass, boost their energy levels, shed body fat, and improve their libido and sexual performance. With ingredients like zinc, vitamin D, and B vitamins, it addresses the unique nutritional needs of men while promoting hormone health.Purity Products Men’s Perfect Multi Testosterone is the primary male hormone responsible for muscle mass, bone density, fat distribution, red blood cell production, and sexual health.

Common Myths About GLP-1 Medications for Weight Loss

Because they're made with whey, collagen, and egg whites, they're also not vegan, although Hlth Code now offers a plant-based version. "They are the best-tasting proteins I've found on the market," says Davis. At $4 per bottle, they're more expensive than many other meal replacements, but these shakes are convenient and highly rated for taste.

Eating chewable apple candy sounds fun, but it’s just a waste of money (and calories) if there aren’t at least 500 milligrams of apple cider vinegar in each serving. To make it simpler, it’s good to know that studies on liquid apple cider vinegar show that 15 to 20 milliliters, which equals about 5% of acetic acid, is enough to provide beneficial effects. However, it can be hard to translate the amount of liquid vinegar to what’s in the gummies. “It’s best to stick with what’s listed on the label and not go overboard—more isn’t always better when it comes to supplements.” Apple cider vinegar is highly acidic, so it’s one of those supplements you want to be more careful with than others.

It offers some of the best-researched ingredients for addressing low testosterone levels, and it provides those ingredients in quantities that studies have shown to be effective and safe. Some at-home tests check for multiple markers that can give you a clear picture of your hormonal health. You can see our favorite at-home testosterone tests in our comprehensive guide, many of which you can get with a discount as an Innerbody reader. You should always talk to your physician before beginning any supplement and, in this case, see if they can order testing for your testosterone levels.

Can you drink alcohol and lose weight? Knowing the number of calories in your drink is key.

This level of transparency and customer support further underscores the legitimacy and efficacy of Rapid Ripped Keto + ACV Gummies. Additionally, the company offers a 90-day money-back guarantee, allowing you to try the product risk-free. The product is backed by scientific research and has garnered positive reviews from thousands of satisfied customers.
Additionally, in terms of clinical practice, the cardiovascular protective roles of SBP have been proven by several randomized controlled trials and expert consensuses on SBP treatment of CVDs (Zhou et al., 2016; Dong T. et al., 2018; Fan et al., 2018). Shexiang Baoxin Pill (SBP), a classic patent medicine derived from the TCM formula Suhexiang Pill of Song Dynasty in China, has been extensively used for the prevention and treatment of CVDs, such as unstable angina, myocardial infarction (MI), and heart failure (HF) (Zhou et al., 2016; Dong T. et al., 2018). Emerging pharmacological studies have revealed that SBP displays pleiotropic roles in protecting the cardiovascular system, as seen by the promotion of angiogenesis, amelioration of inflammation, improvement of endothelium dysfunction, mitigation of dyslipidemia, repression of vascular smooth muscle cell proliferation, and migration and restraint of cardiac remodeling. Shexiang Baoxin Pill (SBP), derived from the traditional Chinese medicine, has been broadly applied for the treatment of cardiovascular diseases including coronary heart disease, heart failure, and hypertension in East Asia for decades.

Forest plot detailing weighted mean difference and 95% confidence intervals (CIs) for the effect of high-intensity interval training on FFM. Forest plot detailing weighted mean difference and 95% confidence intervals (CIs) for the effect of high-intensity interval training on FM. Forest plot detailing weighted mean difference and 95% confidence intervals (CIs) for the effect of high-intensity interval training on BF%.

9 Essential Protein Drinks for Weight Loss in 2025

To get even better at controlling your calories and improving your nutrition intake, consider turning to the experts. However, the presence of stress alone does not automatically mean negative things for your body weight. This is why stress can lead to increased hunger, cravings, and body fat storage.

Flaxseed Bread Easy Vegan Keto Loaf Recipes

Individuals already following a ketogenic diet – Adding BHB gummies does not appear to produce additive weight loss, though some users report improved mental clarity during transition phases. Exogenous ketones are unlikely to be ketogenic per se, and may inhibit ketogenesis, however, the rapid and substantial elevation of BOHB offers potential to mitigate effects of keto-induction, and thus, could play a role in improving adherence to a ketogenic diet. These gummies are designed to support ketosis, improve digestion, and potentially promote weight loss, all in a convenient, easy-to-consume form. While Keto ACV gummies might support weight loss, especially when consumed alongside a balanced ketogenic or low-carb diet, they are not magic pills. This is a key principle of the ketogenic diet — and it can help promote fat burning and weight loss, particularly when combined with a low-carb diet. The gummies help your body enter ketosis faster by providing the essential support needed to switch from burning carbohydrates to burning fat for energy. Additionally, the ketogenic-friendly ingredients in the gummies help your body enter ketosis faster, allowing you to burn fat more efficiently. When combined with the ketogenic diet, which focuses on high-fat, low-carb meals, ACV can help your body enter a state of ketosis faster and more effectively. In addition to promoting digestive health and supporting weight loss, Keto + ACV Gummies may help improve energy levels and maintain healthy blood sugar levels. The BHB ketones, Apple Cider Vinegar, and other active ingredients have peer reviewed research supporting their weight loss benefits. Unlike harsh stimulant based products, this keto plus gummies weight loss supplement works by supporting your body's natural fat burning processes without causing jitters or crashes. They’re designed to mimic the effects of a ketogenic diet and help your body enter ketosis faster. Keto ACV Gummies combine a range of ingredients designed to enhance their health benefits, particularly for those following a ketogenic diet.

By choosing low-impact exercises, you can build a sustainable routine that feels good and delivers results without putting unnecessary strain on your body. You can swap squat jumps for regular bodyweight squats or high knees for a fast-paced march. At Armourbody, our coaches are experts at helping you find the right intensity for your body. You can get an amazing, joint-friendly workout with just your body weight—no jumping required.

11 Benefits Of Weight Training You Should Know For Better Health

  • The two microbiome tests we looked at, which aim to give you a snapshot of your gut health, provide lengthy reports crammed with highly technical language, alongside recommendations around what food you should eat and foods to avoid, and, in some cases, suggested probiotic supplements to take.
  • Additionally, the quality of ingredients can vary widely between brands, and some products may contain fillers or additives that can negate any potential benefits.
  • I’m going to outline a 12 week weight loss meal plan that’s totally flexible.
  • The effect of psyllium fiber on body weight (A), BMI (B), and waist circumference (C) in overweight and obese individuals relative to negative control.

Blood sugar fluctuations can trigger cravings and energy crashes that make weight loss harder. However, shifting the focus from weight loss alone to overall health gains—such as improvements in metabolic health, gut microbiome, inflammation, sleep quality, mental well-being, and quality of life—presents a more holistic and sustainable path forward. In conclusion, current nutritional therapies for weight management emphasize a variety of approaches, ranging from calorie restriction to structured diets like VLCDs and meal replacement programs. For example, dietary strategies used in managing type 2 diabetes not only improve glycaemic control but also alleviate fatigue, enhance physical mobility, and improve mood and mental clarity [6,14], all of which are important contributors to QoL.

You may go a few days without exercise and then realize several weeks have passed without a workout. If you're overweight or obese, even modest weight loss improves chronic health conditions related to being overweight. When you reach a plateau, you may have lost all of the weight you will lose on your current diet and exercise plan.

Q:Here’s the Truth about Birth Control and Weight Gain

A:I played for a long time, but serexin male enhancement reviews I didn t expect that this bastard, Offie, is so fucking ruthless, that sword is full force, as long as she saves some strength, he will be more than that, and he can kill Lotion For Penis Growth serexin male enhancement reviews her. Wow, serexin male enhancement reviews so handsome, my God, how could there be serexin male enhancement reviews such a thing in this world Such a handsome man I decided, from now on average latino man penis size he is my only idol. I m about to go bankrupt once, but how can Apple Cider Vinegar Penis Growth serexin male enhancement reviews I be cowardly after all here After all, it s a big deal to borrow from Captain Tita, so it s not how to make your penis seem bigger Cancerous Growth On Penis difficult to borrow. Serexin Male Enhancement improves sexual stamina and builds blood stream to your penis.

Total Keto ACV Gummies Reviews: Do They Work? Website Name

As products, TestoPrime and Testogen have a lot of similarities. TestoPrime's confidence in its product is expressed in a lifetime guarantee. Only Performer 8 — our top male enhancement product for testosterone — has a similar chat feature.

Learn about common causes and tips for managing weight fluctuations. Learn how inositol may help with insulin resistance and weight management, along with dosage, side effects, and other benefits of this popular supplement. Creatine is popular in fitness circles because it promotes muscle growth, aids with recovery, and may improve exercise performance.

FDA-Approved Pharmacotherapy for Weight Loss Over the Last Decade

Remember, these testosterone boosters, whether it's Sergeant Steel by Assault Labs or Apex Male by Blackstone Labs, are tools at your disposal. And there we have it, gentlemen, your ultimate guide to testosterone boosters for those of us hitting the big 5-0 and beyond. Navigating the world of testosterone boosters can be tricky.

Premier Keto Gummies Customer Service Number USA

Buy eggs that fit your budget and preferences. Weight-loss studies that include eggs often run a few months. Most clinical trials examining eggs and satiety are short-term. 2) One hard-boiled egg with a big salad of mixed greens, chickpeas, cucumber, and lemon dressing. 1) Two scrambled eggs with spinach and paprika, one small slice of whole-grain toast, half a grapefruit.

Tell Me You Love Me, an HBO erotic drama, also shocked audiences with explicit, almost-real sex scenes, and Steve Zahn just pulled out a prosthetic pair of testicles for his close-up in Mike White’s summer satire, The White Lotus. Mark Wahlberg had his major full-frontal moment in Paul Thomas Anderson’s 1997 film Boogie Nights, in which he played a (fictional) porn star named Dirk Diggler, who was supposedly infamous for being well-endowed. In the film, Gere plays an escort involved with the wife of a politician; when it was first released, critics and audiences praised American Gigolo for its stylish neo-noir take on a seedy, hypersexual Los Angeles. Pete has since said she was exaggerating — and that it’s ruined his life because there’s no way women can’t be disappointed after that HUGE tease.

Bliss Roots CBD Gummies Reviews Is Legit or Scam? Check Ingredients Pros Cons & Where to Buy?

Can Collagen Help With Weight Loss And Body Composition
Understanding The Importance Of Cardio And Strength Training For Weight Loss

Side effects include headache, overstimulation, high blood pressure, insomnia, rapid or irregular heart rate, and tremor. Semaglutide is also approved to treat type 2 diabetes under the brand name Ozempic which may be a more familiar name to some patients. Oral semaglutide should be taken on an empty stomach, and patients must wait 30 minutes before eating after taking the medication. In December 2025, an oral version of semaglutide, Wegovy Pill, received FDA approval for the treatment of obesity.

Studies show that combining heavy and light weights in a weekly training split helps transform the body more effectively than relying solely on one or the other for weeks at a time. That means seven days of exercise for week 3, but say goodbye to some of the fat. Your exercise plan needs to include at least five days per week and a great exercise plan can be found at this link here. Cardiovascular exercises, particularly hill sprints and interval training, are really importance for women aiming to achieve the fitness model look, especially when preparing for bikini competitions.

Losing weight isn’t just a physical transformation—it’s a total overhaul of your self-image. I wish I’d known that my scale wouldn’t be doing backflips after week one. If you are 55 years old and need to lose 100 lbs, your experience is going to be completely different from a 25 year old who needs to lose 40 lbs.

Other keto friendly options are walnuts, pine nuts, Brazil nuts, flaxseed, pumpkin seeds, sesame seeds, sunflower seeds, and hemp seeds. Almonds are a good source of protein. Include low-carb fruits such as raspberries, blackberries, strawberries, blueberries, blackcurrants, lemon, lime, rhubarb, coconut, and avocado.

These results suggest that using Contrave along with lifestyle changes can help people lose more weight than lifestyle changes alone. It is a combination of two drugs—bupropion and naltrexone. The FDA approved Wegovy (semaglutide 2.4 mg) in June 2021 for chronic weight management in adults.

Semaglutide Weight Loss Plateau: Costs & Solutions (Miami)

Buy Xenadrine Ultimate Weight Loss online in Pakistan Blending Wellness Simpli Acv And Keto Gummies For Enhanced Health

By combining expert teaching with concrete next steps, the class equips prospective patients to satisfy insurer prerequisites, make empowered decisions, and enter the operating room prepared for long-term success. Dr. Todd Eibes explains pre-op diet visits, post-op follow-ups, complication prevention, and realistic weight loss timelines, reducing anxiety and helping shape achievable expectations. Candidates learn how this surgery works, what lifestyle changes drive lasting success, and which medical conditions or insurance rules could affect eligibility. Here, you’ll find essential information and the necessary steps to begin your journey toward a healthier lifestyle.

How To Lose Weight On A Treadmill A Sustainable Strategy

Christina Aguilera reveals secrets to staggering 40lb weight loss for Las Vegas residency

Is It Possible To Lose Weight With An Underactive Thyroid

A major difference between D.O.s and M.D.s is that some doctors of osteopathic medicine use manual medicine as part of treatment. A doctor of osteopathic medicine, also known as a D.O., is a fully trained and licensed doctor. You'll soon start receiving the latest Mayo Clinic health information you requested in your inbox. If you are a Mayo Clinic patient, we will only use your protected health information as outlined in our Notice of Privacy Practices.

Scammers capitalize on individuals’ desire for quick fixes and use emotional triggers to lure them into purchasing products with unproven efficacy. Like many health scams, it employs enticing marketing tactics, utilizes influencers, and makes grandiose claims that lack robust scientific backing. By drawing parallels, we can recognize that the tactics used are not unique to a single product, but rather part of a larger strategy aimed at exploiting consumers’ vulnerabilities. Learning from the Past Studying previous health scams equips consumers with the knowledge to identify warning signs.

But while that sugar rush may feel satisfying at first, it quickly fades away, sending you back for more unhealthy snacks. Combine protein, healthy fats, and fiber for better satiety. Many healthy snacks can quickly become high-calorie when eaten in large portions. Berries are packed with antioxidants, fiber, and vitamin C, making them one of the healthiest, very low-calorie snack options. Almonds contribute healthy fats, protein, and fiber, making this a well-balanced sweet treat.

They’re made without gelatin and contain 4 grams of sugar per two-gummy serving. I recommend SBOs over other types of probiotics because they’re tough and hardy, meaning they’re capable of surviving and thriving in the gut so they can offer all of the benefits you’re looking for. Do probiotic gummies really work?

Eating well with a diet of fruits and vegetables is an easy way to get essential nutrients and for disease prevention. Some ingredients can mess with and effect medications. Please note that I am not a health professional and this information is based off research and my own knowledge and experience.

Low Calorie Fruits: Health Benefits and Weight Loss

  • And it drives us away from painful ones (conflict, homework, etc) that require more energy or effort.
  • As part of our mini series on health and wellbeing, this week we think about weight and if we can use our brains to help us lose weight.
  • Energy from fatty acyl CoA is mainly produced through beta-oxidation and ketogenesis.
Weight Loss Medications Monday Health Minutes With Valley Health

If medication is necessary, work closely with a healthcare provider to find the safest option. The frequent changes in bedtime can trigger hormonal imbalances, reduced insulin sensitivity, and increased stress . Their circadian rhythms must constantly adapt, often leading to persistent sleep debt. Shift Work ChallengesIndividuals working rotating or night shifts face unique obstacles.

Proper nutrition supports running performance while optimizing calorie burn efficiency for achieving how much to run to burn 500 calories consistently. Standard 400-meter tracks allow specific workout structures for achieving how much to run to burn 500 calories with measurable progression. Total workout duration of minutes including warm-up and cool-down achieves 500+ calorie targets.

Medicines, such as Mounjaro weight loss injections, are tightly regulated and have to go through rigorous testing to prove they are safe and effective. In fact, GLP-1 patches are not medicines at all. One of these is the so-called GLP-1 patch (sometimes called "Mounjaro patches"). Weight loss patches represent the allure of effortless transformation—a promise that remains scientifically unfulfilled.

With the celebrity use and media coverage of semaglutide, eyebrows have been raised about the safety and ethics behind its use. Semaglutide is used to curb cravings, stabilize blood sugar, and feel fuller for longer. We are increasingly finding that our clients are getting mixed messages about semaglutide.

Most users find themselves eating less food and losing weight — which only makes it even more important to consider the nutritional impact of every bite you take. Before introducing a medication, ask your pharmacist about any food interactions, including with alcohol, and any adjustments you may have to make to your diet. Taking a new medication may mean switching up your lifestyle a bit — and that includes the foods you eat. “They are dense in protein and unlikely to worsen nausea, which is often triggered by hot, aromatic foods.” Even though cooking a homemade meal after a long day at work can sometimes seem quite taxing, it helps those looking to lose weight — especially on GLP-1s — know exactly what’s going into their food, and how much they are eating.

597 Best Doctors For Weightloss Diet In Pakistan

Q:Keto Flow Gummies Reviews Scam or Legit Why & How to Use?

A:Begin by monitoring your heart rate during different types of exercise to understand how variousactivities affect your cardiovascular system. Simply knowing your numbers isn’t enough – you need to implementthem effectively to see real weight loss results. Many endurance athletes use the MAF heart ratecalculator to improve fat adaptation and endurance performance. While higher intensities burn more totalcalories, the percentage from fat decreases significantly. At lower intensities, your bodyprefers fat as its primary fuel because fat metabolism requires oxygen, which is readily availableduring moderate exercise.

  • Foods that contain a high amount of soluble fiber can slow down the passage of food from your stomach to your intestine by forming a gummy gel.
  • Some people may be prescribed up to 4.5 milligrams.
  • And then we’ll put it all together into one effective trapezius workout.
  • At its core, mindful eating involves being fully present during meals, eating slowly, and savoring each bite.
  • You can wipe down plastic, metal, or glass packaging with soap and water if you want.
  • For many of these reasons, the scale isn't always an accurate portrayal of your changing body.

In fact, poor sleep can increase the risk of heart disease and even weaken your immune system.3. Why is sleep important for heart health and immunity? What are the main benefits of sleep for overall health? This can help sync your sleep cycle, melt away anxiety, and deliver uninterrupted rest.Moreover, these sleep supplements are USFDA-approved, doctor-formulated, and sugar-free.

Are there any safety considerations when using these machines for weight loss?

Lemon Balm Tea Recipe 5 Surprising Benefits for Weight Loss

And now we give you a bunch of best jailbreak tweaks you need to take a look for iOS 6. Well, we know you might already have jail-broken your ios6 device with evasiOn! Cut out any questions you don’t really need and use those autofill options to save people time. These little tweaks make a big difference in how happy your visitors are and nudge them to actually do what you want. Target found that people who use the search bar actually spend 2.5 times more than those who don’t!

Anti Inflammatory Diet Plan To Lose Weight Diet Plan 2025 Lose 1 Kg In 1 Day Drshikha Singh

Whatta dire full life this poor woman’s had! She had a helluva lotta skin needing removal, so good for her! Comment congratulating Tammy on her recovery, sending positive thoughts for speedy healing after 8-hour surgery. Comment text on white background reading congratulations and mentioning success and freedom related to 1000-lb sisters shocking transformation. A report by Bored Panda at the time noted her numerous health scares leading up to the transformation, but along with them came motivated moments.

Furthermore, it is simple on your body but difficult on your symptoms. Your body requires cannabis to aid in the elimination of these symptoms. It’s simpler to fall asleep and stay asleep when your neurological system is functioning properly and sending balanced signals.

Phentermine is a prescription weight loss medication that belongs to the class of drugs called sympathomimetic amines, which are a type of stimulant. No, Contrave and Phentermine have different mechanisms of action, and effectiveness may vary depending on individual factors.What weight loss pill is better than Phentermine? These encompassed weight management, increased energy levels, improved mental clarity, enhanced focus, and enhanced overall physical fitness.

Our first on-treatment analysis demonstrated that those on-drug lost more weight than those in-trial, confirming the effect of drug exposure. The proportion of patients with obesity (BMI ≥30 kg m−2) fell from 71.0% to 43.3% in the semaglutide group versus 71.9% to 67.9% in the placebo group. The BMI category change reflects the superior weight loss with semaglutide, which resulted in fewer patients being in the higher BMI categories after 104 weeks. 4, which depicts in-trial patients receiving semaglutide and placebo.

Semaglutide: How It Works for Weight Loss